• <tt id="ooooo"></tt>
  • <li id="ooooo"><table id="ooooo"></table></li>
  • <li id="ooooo"><tt id="ooooo"></tt></li>
  • <li id="ooooo"></li>
  • <li id="ooooo"><tt id="ooooo"></tt></li><li id="ooooo"></li>
  • <li id="ooooo"></li>
  • <li id="ooooo"><tt id="ooooo"></tt></li>
  • 購買保證光纜預期壽命的措施請撥400-880-1981

    保證光纜預期壽命的措施

    時間:2011-11-17來源:輝鵬網絡 作者:xiaowu 點擊:
    內容提要: 光纜的運行壽命越長,年經費就越低,工程的經濟性就越好。
      

       用戶往往要評價所訂購的光纜是不是合算,最初的考慮也許是價格是否便宜,進一步的分析要看一下性能價格比。比較完整的經濟指標則是“年經費”,即基礎投資攤銷到壽命年限內并包括年運行、維修、消耗等費用的總和,這是各經濟部門以及國際電聯(ITU)通用的經濟指標。運行壽命越長,年經費就越低,工程的經濟性就越好。

      為了滿足光纜預期壽命30年而不是傳統的電纜預期壽命20年,長飛光纖光纜公司做了以下努力:

      1、優質穩定的光纖

      長飛公司用PCVD法生產世界公認的一流光纖,傳輸特性好,幾何精度高,并有足夠的拉斷強度。經過100%張力篩選后的光纖中有95%光纖實際拉斷強度超過36N,90%的光纖實際拉斷強度超過45N。

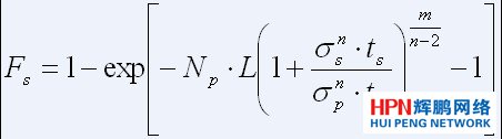
      按照壽命預測公式

         

    光纜壽命預測公式

     

      100km光纖長度在30年內自身斷纖的概率只有0.34×10-1,小于荷蘭郵電部規定的1×10-1的概率指標。

      長飛公司的光纖不用磷而用氟摻雜,這可以大大減輕氫損影響。根據實驗結果和外推法計算,PCVD工藝拉制的光纖在30年內由于氫損引起的衰減增大在最壞情況下也不超過0.01dB/km(1310nm)和0.02dB/km(1550nm)。

      2、周密的結構設計

      一些用戶已經注意到長飛公司規定的光纜拉力指標。在承受最大允許拉力時,光纖也不允許受力、不延伸。長飛公司采用高強度加強元件和精確的余長控制做到這一點。在極端情況下,纜中光纖的受力不會超過張力篩選的20%。

      最需要提防的是水份的侵入。如果水份、裂紋和受力三者同時存在,就很容易斷纖。長飛公司采用的松套管層絞填充式光纜結構使得光纖得到完善保護。加上多層(APL、PSP)防水結構設計,多次使用熱熔粘接,使得哪怕在惡劣環境下,光纖也不會受到水和張力的侵襲。壓力填充纜芯阻水膏有極佳的縱向和橫向防水性能。

       光纜護層的理化特性及其穩定性至關重要。長飛公司光纜適用的儲運及安裝溫度范圍為-50℃~+70℃,工作溫度一般可達-40℃。特殊要求達-50℃,為了適應各種環境,如化學污染、紫外輻射、尖石、水底、白蟻、鼠害、雷擊強電干擾、防火要求等,長飛公司提供各種護套類型的光纜,而且這些類型的護套已在飛利浦公司幾十年的電纜應用實踐中被證明是有效的、穩定的。

      3、嚴格的材料把關

      飛利浦公司的加速老化試驗表明,必須用優質原材料來保證光纜30年的使用年限。其中有些材料是光纜專用的,如石英管、松套管、水凝膠、油膏、涂敷鋼帶等等。

      長飛公司采用的各種光纜材料全部經過公司理化試驗室的嚴格檢驗。檢驗標準是按照光纜使用壽命30年制定的。有些標準比傳統的電纜材料標準還要高。

      4、科學的工藝控制

      長飛公司自動化連續制纖、制纜工藝保證了產品質量的穩定性。巨大的超凈恒壓、恒溫、恒濕車間、合理的工藝流程、精細的操作技術、嚴格的質量管理,保證了長飛產品質量的高標準和一致性。

      5、結論

      光纖傳輸特性的穩定性,纜的機械和防水特性、材料理化及老化特性是決定光纖光纜使用壽命的決定因素。由于充分重視這些因素,根據計算,長飛光纜中的光纖在30年內自身斷纖的概率簡直小到可以忽略的程度。

     


    常用光纜快速導航: 4芯光纜價格 、6芯光纜價格 、8芯光纜價格 、12芯光纜價格 、18芯光纜價格 、24芯光纜價格 、32芯光纜價格 、36芯光纜價格 、48芯光纜價格 、72芯光纜價格


    銷售熱線
    ------分隔線----------------------------
    收縮
  • <tt id="ooooo"></tt>
  • <li id="ooooo"><table id="ooooo"></table></li>
  • <li id="ooooo"><tt id="ooooo"></tt></li>
  • <li id="ooooo"></li>
  • <li id="ooooo"><tt id="ooooo"></tt></li><li id="ooooo"></li>
  • <li id="ooooo"></li>
  • <li id="ooooo"><tt id="ooooo"></tt></li>
  • 性一交一伦一a级 武鸣县| 阳朔县| 府谷县| 凭祥市| 花莲市| 溧水县| 蓬安县| 清丰县| 浦北县| 陈巴尔虎旗| 巴南区| 当阳市| 宜宾县| 临湘市| 开江县| 洛阳市| 衡阳县| 荣昌县| 南靖县| 闽清县| 灵璧县| 淮北市| 上蔡县| 内乡县| 新平| 潞西市| 当涂县| 齐河县| 阳高县| 芒康县| 五家渠市| 平顶山市| 于都县| 洪泽县| 云阳县| 永登县| 沁源县| 澄城县| 康平县| 安泽县| 乌海市| http://444 http://444 http://444